S企業是一級汽車零部件供應商,公司目前已經形成了批量生產各類轎車、輕型客車的等速萬向節傳動軸、十字節、偏心軸等規模生產能力,年銷售額達40億元。為提升工程能力及研發響應速度,企業決定實施產品數據管理PDM(Product Data Management)系統。“組合評價/預測”是近年來在學術界得到較為積極應用的研究思路。通過將具有同種性質綜合評價/預測方法組合在一起,就能夠同時發揮各種力法的優點,而各種方法的缺點將得到彌補。
1 基礎理論
1.1 DHNN離散霍普菲爾德神經網絡
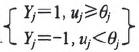
二值霍普菲爾德神經網絡,其神經元的輸出只有1和-1,稱為離散霍普菲爾德神經網絡DHNN(Discrete Hopfield Neural Network)。二值神經元所輸出的離散值1和-1分別表示神經元處于激活和抑制狀態。
假設存在一個有三個神經元組成的DHNN,其網絡結構是一種單層且輸出值為二值的反饋網絡。其網絡結構,如圖1所示。
計算公式如下:

式(1)中,xj為信息的外部輸入,且

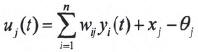
θj為第j個神經元閥值:uj為第j個神經元輸入。一個DHNN的網絡狀態的表現形式是其輸出的神經元的集合,如果一個DHNN神經網絡有n個神經元,其在t時刻的網絡狀態是一個n維向量:

每一個yi(t)其取值為二值,所以n維向量Y(t)有2n種狀態。如果對于yi(t)表示某節點在t時刻的狀態則t+1時刻的狀態可以用以下公式表示。

式(3)中,

f為閥函數,θj為第j個神經元閥值,uj為第j個神經元輸入。

圖1 DHNN網絡結構
DHNN有串行和并行兩種工作方式,其運行方式按照動力學的原理。工作過程是神經元從初始狀態到達穩態的過程,按照能量函數(函數)趨小的方向進行變化直至進入穩態,而穩態就是網絡的輸出。為加速網絡的收斂速度,采用一種特殊型態的能量函數一李亞普洛夫(Liapunov function)函數。網絡的穩定性已經有多篇文獻做出過充分的說明,其穩定的充分非必要條件是網絡的權系數矩陣W是一個對稱矩陣。其權系數矩陣的設計目的是:權值對稱保證穩定性,盡可能的減少偽穩定點,增加穩定點的吸引力,使得有記憶的穩定點都能收斂。
1.2 小波神經網絡
小波神經網絡是一種以BP神經網絡拓撲結構為基礎,把小波基函數作為隱含層節點傳遞函數的神經網絡。其結構如圖2所示。

圖2 小波神經網絡結構圖
小波變換是指把某一基本小波函數ψ(t)平移τ后,在不同尺度a下與待分析的信號x(t)做內積。隱含層輸出計算公式為:

輸出層計算公式為:n

在式(4)和(5)中,ωij,ωik為連接權值,xi是輸入信號,bj為小波基函數hj的平移因子,aj為小波基函數函數hj的伸縮因子,函數hj為小波基函數。這里使用Morlet作為母小波基函數:

2 研究模型構造
2.1 模型構造和設計步驟
應用上述構造步驟有機組合AHP法(層次分析法)和兩種神經網絡,模型構造如圖3所示。

圖3 模型構造和設計步驟圖
設計綜合評價等級見表1。
表1 綜合評價等級表

針對S企業PDM的實施特點,綜合各種因素后從8個方面設計了研究評價指標,分別為:
實施團隊和管理方法(X1);流程匹配程度和BPR確認度(X2);信息系統的集成能力(X3);數據準備和應變響應能力(X4);培訓應用能力(X5)。系統功能模塊利用率(X6):企業產品開發時間目標達成率(X7):收費license的日利用時間(X8)。
S企業定制的PDM系統有多個功能模塊,見表2。
表2 企業PDM功能模塊表

研究假設當X1至X7的綜合評價指標達到V級以上穩定后,PDM的實施效果和收費license的日利用時間正相關。這是由于當PDM使用實施進入穩定時期,收費license的日利用時間實際表示研發等終端用戶依賴和自愿使用PDM標準迅速完成研發工作的程度。該指標最為客觀,其有效性由X1至X7的綜合評價指標保證。
2.2 指標權值矩陣
請企業管理層,企業工程專業實施核心人員及軟件商項目開發組專業人員共同組成的專家團隊,為7個指標賦權。
根據層分法的標度含義見表3。得到:
表3 AHP1-9標度


求解該正互反矩陣的最大特征根所對應的特征矢量,并通過一致性檢驗。得到各指標權值,同時根據權重,對下一步神經網絡的設計中的神經元分配,見表4。
表4 神經元分配表

2.3 設計DHNN穩態
記憶輸出模式
由于DHNN記憶聯想特點,為了將上述賦權引入到網絡中去,需要特別設計記憶穩態。在研究分析中引入600個神經元作為記憶神經元,同時將每個待賦權的指標對應表1的6級指標。這樣使得每一個指標的級別有100個神經元參與網絡學習訓練,而每一級各個指標分別按照賦權分配神經元數,最終各級各指標的記憶穩態,見表5。
表5 神經網絡記憶穩態和輸出模式表

網絡記憶樣本允許值為(0.13~0.15)n,當n~100時,其至少能夠記憶13個樣本,因此基于上述記憶穩態而設計的DHNN網絡是能夠正常運行的。
基于神經網絡的S企業PDM實施研究及效果預測模型(下篇)
核心關注:拓步ERP系統平臺是覆蓋了眾多的業務領域、行業應用,蘊涵了豐富的ERP管理思想,集成了ERP軟件業務管理理念,功能涉及供應鏈、成本、制造、CRM、HR等眾多業務領域的管理,全面涵蓋了企業關注ERP管理系統的核心領域,是眾多中小企業信息化建設首選的ERP管理軟件信賴品牌。
轉載請注明出處:拓步ERP資訊網http://www.hanmeixuan.com/
本文標題:基于神經網絡的S企業PDM實施研究及效果預測模型(上篇)
本文網址:http://www.hanmeixuan.com/html/solutions/1401938628.html
























