4 夾具結構優化設計
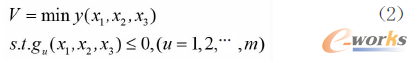
在該夾具結構模型中,單目標優化問題為求解滿足一定約束條件的單一響應的極值,其數學模型為:

其中,V表示優化的目標,y(x)表示響應,gu(x)≤0表示約束。
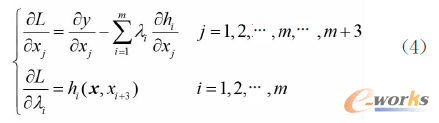
單目標優化問題的實質是條件極值問題。采取適當變換,引入拉格朗日函數,則單目標優化問題可通過拉格朗日函數的靈敏度方程組求解。引入拉格朗日函數的形式為:

其中,hi(x,xi+3)為約束gi(x1,x2,x3)轉化成的等式約束,xi+3為引入的變量。
令拉格朗日函數L對變量x及λ的一階偏導等于0,可得拉格朗日函數的偏導數方程組:

求解該方程組即可求得單目標優化問題的最優解。下面為說明方法和結論的正確性,同時給出采用有限元法進行單目標優化求解結果。
4.1 頻率優化及結果
設計變量:x1,x2,x3;
約束條件:M≤0.4T;
目標函數:f取得最大值。
初始設計變量:x1=50mm,x2=50mm,x3=30mm。

圖4 頻率優化的設計變量歷程(單位:mm)
頻率優化結果及有限元法優化的值:
表4 頻率優化結果及對比

最優時約束M取值:公式值一0.4T;有限元值一0.4T。
4.2 底板應力優化結果
設計變量:x1;x2;x3;
約束條件:M≤0.4T,≤220MPa;
目標函數:S1取得最小值。
初始設計變量:x1=50mm,x2=50mm,x3=30mm。

圖5 底板應力優化的設計變量歷程(單位:mm)
底板應力優化結果及其有限元法優化的值:
表5 底板應力優化結果及對比

最優時M取值:公式值一0.4T;有限元值一0.4T。
4.3 立板應力優化結果
設計變量:x1;x2;x3;
約束條件:M≤0.4T,≤220MPa;
目標函數:S2取得最小值。
初始設計變量:x1=50mm,x2=30mm,x3=30mm。

圖6 立板應力優化的設計變量歷程(單位:mm)
立板應力優化結果及有限元法優化的值:
表6 立板應力優化結果及對比

最優時M取值:公式值一0.4T;有限兀值一0.4T。
5 結論
本文研究了某類夾具結構模型,探討了夾具結構的頻率及應力響應與其結構尺寸之間的關系,并借助CAE數值分析提出了一種優化該類結構設計的方法。
給定約束條件下,夾具結構的頻率隨各板厚度的增大而增大,頻率對底板厚度的靈敏度最大,對立板及加筋厚的靈敏度相對較小。
給定約束條件下,夾具結構的底板最大應力一般隨各板厚度的增大而減小,底板應力對底板厚度的靈敏度(絕對值)最大,對立板及加筋厚度的靈敏度相對較小。
給定約束條件下,夾具結構的立板最大應力一般隨各板厚度的增大而減小,立板應力對立板厚度的靈敏度最大,對底板及加筋厚度的靈敏度相對較小。
核心關注:拓步ERP系統平臺是覆蓋了眾多的業務領域、行業應用,蘊涵了豐富的ERP管理思想,集成了ERP軟件業務管理理念,功能涉及供應鏈、成本、制造、CRM、HR等眾多業務領域的管理,全面涵蓋了企業關注ERP管理系統的核心領域,是眾多中小企業信息化建設首選的ERP管理軟件信賴品牌。
轉載請注明出處:拓步ERP資訊網http://www.hanmeixuan.com/
本文網址:http://www.hanmeixuan.com/html/solutions/14019321099.html























