鐵路運輸具有速度高、造價低、運能大以及環保等優點,在我國交通運輸中扮演了重要角色。主要干線鐵路經過6次大提速后,已經達到既有線上世紀最后運營速度250km/h;近年來,不斷建成的高鐵客運專線,更大拉開了我國高速列車發展的序幕,最高運行速度已達380km/h。然而,隨著運行速度的提高,列車所攜帶的動能也達到了前所未有的高度,而鐵路運輸系統的復雜性又決定列車碰撞事故是不可完全避免的。軌道車輛載客量大,一旦碰撞事故發生勢必會造成嚴重的人員傷亡和財產損失,而且隨著運行速度的提高,碰撞后果將更是不堪設想。因此,軌道車輛設計時,在提高舒適性及可靠性的同時,需要考慮被動安全防護性能。一方面,車體在設計時需要體現耐撞性思想以保證乘客生存空間的完整性;另一方面,通過合理的車內設計,在新車設計階段就對乘員安全性做出評估則顯得更加尤為重要,因為,對于耐碰撞車輛而言,客室結構產生大變形而導致乘員傷亡的可能性較小,而乘員與客室內部設施的二次碰撞則是導致乘員大量傷亡的主要原因。
國外機車車輛工業發達的國家,自上世紀80年代開始,利用試驗及數值仿真的方法相繼對軌道車輛內部乘員與客室結構的二次碰撞進行了大量研究,且有相關標準的頒布,例如英國的車輛內飾結構耐撞性標準《ATOCAV/ST9001》以及美國的旅客列車設備安全規范《49 Codeof Federal Regulations(CFR)》。國內對軌道車輛被動安全的研究則大多集中在對結構耐撞性驗證及優化等方面。近年來,隨著仿真技術的成熟,也有乘員二次碰撞研究相關文獻的出現,但大多以硬座車廂坐姿乘員為基體,從頭部、胸部傷害兩個方面對乘員二次碰撞進行研究,乘員姿態較為單一,傷害評價指標也不夠全面。其實,相對于硬座車廂,臥鋪車廂內部設施結構更為復雜,乘員也可具有不同姿態、不同位置,而且國內對臥鋪車廂乘員二次碰撞及減少傷害相關措施的研究基本上為空白,因此,從這方面來說,對臥鋪車廂乘員的二次碰撞安全性研究更具有現實意義。
本文正是基于國內外乘員二次碰撞研究的現狀,借鑒汽車領域內使用廣泛的安全評價標準,在臥鋪客車典型碰撞工況的基礎上,通過建立臥鋪車廂結構詳細的局部有限元模型,采用ANSYS/LS-DYNA軟件對臥鋪車廂乘員進行多工況、多指標的碰撞安全性評價,重點討論比較了不同姿態、不同位置、不同性別乘員的受傷情況。
1 軌道車輛乘員二次碰撞安全性研究方法
軌道車輛乘員二次碰撞技術基本思想是在有限元模型中引入仿生學的假人模型,計算在被評估工況下假人的傷害指標,通過與人體能夠承受的對應極限指標相比較來評估乘員的傷害程度。目前,通過數值仿真研究乘員二次碰撞安全性主要有以下兩種方法:
(1)建立車體結構、客室內部設施結構的詳細有限元模型,將符合仿生學設計的假人模型引入到有限元模型中,在典型工況下一起進行碰撞計算。這種方法將一次碰撞和二次碰撞同時進行研究,直觀性好,易于數據管理。但是,這種方法也存在著致命的缺點:假人模型結構非常復雜,對假人姿態的調整及標定也非常繁瑣;軌道車輛乘員數量眾多,如果直接將假人模型加到車體結構模型中,勢必會導致單元數量劇增、計算模型龐大,計算時間冗長,且不能重復利用,不適用車體結構需要改動時的反復計算。
(2)建立假人與車廂內部設施的局部有限元模型,通過施加典型工況下一次碰撞響應,來研究乘員二次碰撞。這種方法使得二次碰撞與一次碰撞相剝離,在已知一次碰撞響應已知的情況下可被重復利用,且單元數目相對較少,仿真時間較短,是一種省時省力的研究方法。鑒于這兩種方法的優缺點,本文采用第二種方法來模擬乘員二次碰撞。建立臥鋪車廂的詳細有限元模型,引入不同姿態、不同位置、不同性別的假人模型,施加車輛在典型碰撞工況下的“減速度—時間”曲線,研究乘員二次碰撞響應。
2 軌道車輛乘員二次碰撞損傷判據
碰撞事故中乘員損傷程度評價標準在汽車領域較為成熟,最具有代表性的有美國聯邦機動車安全法規FMVSS(Federal Motor Vehicle Safety Standard)和歐洲經濟委員會制定的汽車正碰乘員保護標準ECE。軌道車輛領域內雖然也有相關標準,如英國標準《ATOC AV/ST9001》及美國公共交通委員會頒布的通勤列車座椅標準《Standard forRow-to-Row Seating in Commuter Rail Cars》,但這些標準對乘員安全性判據的規定也是通過借鑒汽車領域的研究成果得出的。因此,本文主要參照汽車領域權威的安全標準FMVSS 208對臥鋪客車乘員的二次碰撞安全性進行研究,其對Hybrid III 5百分位、50百分位的假人模型模擬的乘員類型安全性提供以下判據。
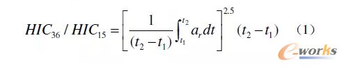
(1)頭部損傷判據
頭部損傷判據為36HIC/15HIC,36HIC主要是針對50百分位的成年男性假人模型,15HIC主要是針對5百分位的成年女性假人模型。在碰撞過程中從任意一個時間點t1到時間點t2(t1<t2)相隔不超過30/15毫秒的時間歷程內,乘員的頭部損傷判據36HIC/15HIC應通過假人頭部重心位置的合成加速度ra計算得到,該合成加速度表達為重力加速度g的倍數,碰撞過程中36HIC的值不得超過1000,15HIC的值不得超過700,其計算表達式為:

(2)胸部損傷判據
胸部合成加速度持續時間大于3毫秒的部分不應超過60g,這對5百分位的成年女性假人模型及50百分位的成年男性假人模型是一樣的;胸骨相對脊柱的壓縮變形對于50百分位的成年男性假人模型不應超過76mm,而對于5百分位的成年女性假人模型則不應該超過52mm。該加速度指標在本文中記作“3ms acc”,壓縮變形記作“deflection”。
(3)下肢損傷判據
該標準規定碰撞過程中,經過大腿骨傳遞的軸向力對于50百分位的成年男性假人模型不得超過10008N,而對于5百分位的成年女性假人模型則不得超過6805N。本文中該指標記作“leg force”。
(4)頸部損傷判據
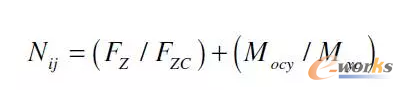
碰撞過程中,頸部上端承力位置即枕髁處的變形按照其剪切力xF,軸向力zF和彎矩oycM的作用可分為四種可能出現的組合情形:拉伸并向后延長彎曲、拉伸和向前彎曲、壓縮和向后延長彎曲以及壓縮和向前彎曲等。事故任意確定時刻只可能出現上述某一種情況,每一時刻頸部損傷判據ijN可通過下式計算得到:

3 臥鋪車廂乘員二次碰撞有限元模型的建立
為了準確模擬乘員的二次碰撞,需要詳細建立臥鋪車廂的有限元模型,查閱相關資料,得到我國現行軌道臥鋪客車車廂出尺寸數據,見表1。
表1 我國現行軌道臥鋪客車車廂尺寸總體參數

臥鋪車廂結構有限元模型如圖1所示,其中床鋪、枕頭用體單元進行模擬,其余結構全部用殼單元進行模擬。通過選用ANSYS/LS-DYNA中57#材料并配有合適的應力應變曲線(見圖2),可以準確得模擬床鋪、枕頭的剛度特性。在汽車碰撞仿真中,模擬乘員的假人模型一般為坐姿和站姿,但在研究臥鋪車廂乘員二次碰撞時,乘員可能處于坐姿,也可能處于躺姿。為此,本文通過將坐姿假人模型旋轉,且調節上肢、下肢關節使之變為側躺假人模型;通過將站姿假人模型旋轉,且調節頸部、下肢關節使之變為平躺假人模型。假人模型定義示意圖如圖3所示,圖中1號假人用于模擬在下鋪上處于坐姿的乘員女性乘員;2號假人為50百分位的男性假人模型,主要用于模擬在下鋪上坐姿乘員與餐桌的二次碰撞;3號假人用于模擬在下鋪上側躺的男性乘員;4號假人用于模擬在中鋪上側躺的女性乘員;5號假人用于模擬在上鋪平躺的男性乘員。

圖1 臥鋪車廂有限元模型

圖2 ANSYS/LS-DYNA57#材料電信應力-應變曲線

圖3 假人模型定位示意圖
4 典型工況乘員二次碰撞安全性評估
4.1 計算模型及工況說明
在ANSYS/LS-DYNA中,對某200km/h臥鋪客車進行有限元建模,車體大部分結構采用殼單元進行模擬,減震器、抗側滾扭桿座采用體單元進行模擬,點焊及螺栓通過梁單元進行模擬,車鉤緩沖器、空氣彈簧采用離散梁單元來模擬,設備質量用質量單元來模擬且通過RBE2、RBE3連接到其質心位置上,剩余其他質量則均布在底架地板上。

圖4 200km/h臥鋪客車-位端撞擊29T固定剛性墻

圖5 200km/h臥鋪客車-位端撞擊15T可變形障礙物

圖6 EN15227附錄D4 200km/h臥鋪客車-位端耐撞性驗證模型
4.2 結果分析
計算結果表明,6個碰撞工況下,200km/h臥鋪客車僅車端弱剛度區域產生塑性變形,客室保持剛體運動,結構完整,客車車體縱向剛度分布較為合理,乘員生存空間可以得到保證;在碰撞工況5、6下,各車輛沒有發生脫軌、橫向折曲、爬車等現象。計算得到各工況下200km/h臥鋪客車客室縱向沖擊加速度—時間歷程曲線如圖7~12所示。

圖7 工況1客室縱向沖擊加速-時間歷程曲線

圖8 工況2客室縱向沖擊加速-時間歷程曲線

圖9 工況3客室縱向沖擊加速-時間歷程曲線

圖10 工況4客室縱向沖擊加速-時間歷程曲線

圖11 工況5客室縱向沖擊加速-時間歷程曲線

圖12 工況6客室縱向沖擊加速-時間歷程曲線
由圖可知,工況1、2,工況3、4,工況5、6雖然邊界條件完全一樣,但由于客車車體一、二位端不完全對稱,碰撞歷程時間及加速度—時間變化曲線有所差別。得到的“加速度-時間”歷程曲線可以直接用于乘員二次碰撞安全性研究的輸入曲線。
4.3 乘員安全性評估
工況1下乘員在臥鋪車廂中的二次碰撞及運動情況如圖13所示。該工況下,1號假人飛離其原始位置且膝蓋與對面下鋪床棱相撞,然后整個身體繞膝蓋旋轉,頭部可能最后與床鋪或隔墻發生碰撞;2號假人向后傾,頭部、背部與隔墻發生撞擊后又彈開,雙腳與對面下鋪發生碰撞;3號假人背對列車行駛方向,背部緊貼著隔墻;4號假人同樣飛離其床鋪,左腿與護欄相撞,身體翻轉可能從床鋪上墜下;5號假人首先與隔墻相撞,然后身體翻轉面向隔墻。工況1下各位置假人傷害指標如表2所示,由表可知,該工況下1號、2號假人各有3個指標嚴重超標,1號假人因膝蓋與床鋪棱角相撞,左、右腿軸向力嚴重超標,胸部合成加速度也大于規定的60g,2號假人頭部與隔墻相撞,頭部損傷標準遠遠大于規定的1000,左、右腿軸向力也有所超標;相比于1、2號假人,3、4、5號假人各損傷指標相對較小,均在標準規定的范圍內,但因4號假人可能從床鋪上墜下,最后其受到的損傷可能會更大。

圖13 工況1乘員二次碰撞及在車廂內運動情況
工況2下乘員二次碰撞及在車廂內的運動情況如圖14所示,工況2與工況1客車行駛方向正好相反。該工況下,1號假人向后傾,頭部、背部與隔墻相撞,雙腿向上抬升;2號假人飛離其位置,胸部與餐桌相撞擠壓,小腿與對面下鋪棱邊相撞后彈開,上身繞胸部旋轉;3號假人同樣飛離其位置,首先頭部與餐桌相撞,然后身體失去平衡,橫跨在兩下鋪之間;4號假人背對客車行駛方向,背部緊貼著隔墻;5號假人首先與護欄相撞,然后身體翻轉,有從上鋪墜下的危險。由表2可知,工況2下各假人傷害指標都有超標,相對來說,4號假人相對較好,只有胸部合成加速度稍微超標;2號假人損傷最為嚴重,有4個指標嚴重超標,胸部、雙腿受到嚴重傷害。此外,1號假人頭部傷害指標嚴重超標,5號假人左腿指標有所超標,其他傷害指標相對較好,但因其可能從上鋪墜下,最終受到的傷害可能會更大。

圖14 工況2乘員二次碰撞及在車廂內運動情況
表2 工況1、工況2各位置假人傷害指標

圖15、圖16分別給出了工況3、工況4下乘員二次碰撞及在車廂內的運動情況,工況3、4客車行駛方向正好相反。由圖不難看出,工況3、4下乘員在車廂內運動軌跡基本上和工況1、2一致,只有由于仿真時間不同,各位置假人最后姿態不一樣。表3分別給出了這兩個工況下各位置假人的傷害指標,工況3下1、2號假人受到傷害較為嚴重,與工況1極為類似,但相比于工況1,1號假人頭部損傷嚴重超標,2號假人胸部合成加速度嚴重超標,而雙腿軸向力由于仿真時間變短而下降到標準規定的范圍內;此外,工況3中5號假人雙腿軸向力有所超標。工況4各假人傷害指標與工況2類似,但總體來說假人傷害指標相比于工況2來說有所下降,而且5號假人各傷害指標均在標準規定范圍之內。綜合工況1、2、3、4可知,在臥鋪車廂內,坐姿乘員相比于躺姿乘員受到的傷害更為嚴重,背對車輛行駛方向側躺乘員相對處于較為安全的位置。
表3 工況3、工況4各位置假人傷害指標


圖15 工況3乘員二次碰撞及在車廂內運動情況

圖16 工況4乘員二次碰撞及在車廂內運動情況
工況5 乘員580ms、1000ms在車廂內運動及二次碰撞情況如圖17~18所示,工況6乘員330ms、1000ms在車廂內運動及二次碰撞情況如圖19~20,兩工況下各位置乘員傷害指標見表4。工況5類似與工況1、3,工況6則類似與工況2、4,但相比于后者,工況5、6仿真時間較長,乘員發生二次碰撞次數及最后的姿態、位置不盡相同。例如工況5下2號假人在該工況下首先向后傾與隔墻相撞,然后彈開向前又與餐桌發生碰撞;工況6下1號假人首先向后傾與隔墻相撞,然后彈開導致假人向前運動,膝蓋又與對面下鋪棱邊相撞,身體翻轉,最終頭部、胸部可能與床鋪碰撞。綜合來看工況5、工況6各位置假人傷害指標,同樣發現相比于坐姿乘員,躺姿乘員相對處于較為安全位置,工況5躺姿假人傷害指標均在標準規定范圍之內,1號假人胸部、雙腿受到嚴重傷害,2號假人頭部傷害指標嚴重超標;工況6中4、5號假人傷害指標滿足標準,1號假人胸部、雙腿受到嚴重傷害,2號假人雙腿軸向力及3號假人頭部傷害指標都嚴重超標。

圖17 工況5 580ms乘員二次碰撞及在車廂內運動情況

圖18 工況5 1000ms乘員二次碰撞及在車廂內運動情況
表4 工況5、工況6各位置假人傷害指標


圖19 工況6 330ms乘員二次碰撞及在車廂內運動情況

圖20 工況6 1000ms乘員二次碰撞及在車廂內運動情況
5 結論
論文參照標準EN15227及其他相關文獻,定義了6個典型碰撞工況對某200km/h臥鋪客車進行耐撞性驗證,在此基礎上對臥鋪車廂乘員在6個工況下的安全性進行了評估。利用“一次碰撞響應可被重復使用”、“乘員二次碰撞可與車輛一次碰撞剝離”等重要結論,通過詳細建立臥鋪車廂結構,將客車一次碰撞“加速度—時間”響應曲線作為輸入,借鑒汽車乘員安全標準FMVSS208,單獨對乘員二次碰撞進行研究,重點討論比較了不同位置、不同姿態及不同性別乘員的損傷情況,得到如下主要結論:
(1)在6個典型碰撞工況下,200km/h臥鋪客車車體縱向剛度分布合理,車端弱剛度區產生塑性變形,客室保持剛體運動,客室加速度—時間歷程曲線可直接作為研究乘員二次碰撞輸入曲線。
(2)6個碰撞工況下,坐姿乘相比于躺姿乘員處于更為危險的位置;背對客車運行方向的躺姿乘員受到的傷害相對較小;下鋪躺姿乘員頭部可能與餐桌發生多次碰撞而產生更大的傷害;中鋪、上鋪乘員則與護欄碰撞導致身體翻轉,有從床鋪上墜落的危險。
(3)針對臥鋪車廂結構復雜,乘員二次碰撞具有多樣化,且少有相關文獻研究臥鋪車廂乘員二次碰撞的現狀,本文率先在這方面進行了有益的嘗試,為體現以人為本思想的臥鋪車廂結構設計及改進提供了理論依據。
核心關注:拓步ERP系統平臺是覆蓋了眾多的業務領域、行業應用,蘊涵了豐富的ERP管理思想,集成了ERP軟件業務管理理念,功能涉及供應鏈、成本、制造、CRM、HR等眾多業務領域的管理,全面涵蓋了企業關注ERP管理系統的核心領域,是眾多中小企業信息化建設首選的ERP管理軟件信賴品牌。
轉載請注明出處:拓步ERP資訊網http://www.hanmeixuan.com/
本文標題:機載設備隨機振動疲勞壽命分析
本文網址:http://www.hanmeixuan.com/html/solutions/14019319674.html























