當前,由于受摩托車市場競爭日趨激烈的影響,各摩托車整車生產廠家對摩托車零部件制造企業在零部件配套供應上提出了更為嚴格的要求,諸如在需求計劃、配套件品種、供貨時間上,呈現出變化速度快的特征。在這種新的市場環境下,為了滿足企業自身生產所提出的日益嚴格的物料供應需求,大多數摩托車零部件制造企業不得不對其采購管理進行改進,以保證生產的順利進行。
大多數摩托車零部件制造企業的零部件產品主要由自制件和采購件組裝而成。由于不同摩托車主機廠對于相應零部件產品的品種規格要求也不盡相同,這就使得摩托車零部件制造企業中所需采購件的規格型號也是多種多樣。如何為零部件產品生產時準確地供應相應的采購件,給大多數中小型摩托車零部件制造企業的采購部門提出了較高的要求。
針對當前市場環境下采購方式的要求,筆者提出和研究了一種基于動態采購訂單(dynamicpurchase orders,DPO)的摩托車零部件制造企業網絡化采購管理模式。
1 DP0概念的提出
所謂動態采購訂單(DPO)就是以基于客戶需求的主生產計劃為驅動,集成物料清單(bill ofmaterials,BOM)和供應商清單(bill of suppliers,BOS)資源,優化采購訂單生成過程和動態響應供應商供貨過程的一種訂單管理模式。
摩托車零部件制造企業網絡化采購支持系統的一種運行模式如圖1所示。

圖1 摩托車零部件制造企業網絡化采購支持系統運行模式
從圖1中可以看出這一系統運行模式具有以下特點:
1)不同類型客戶訂單需求的自動分類匯總不僅提高了制定主生產計劃的效率,而且能夠更加有效地應對由于插單引起的主生產計劃的變動。
2)按類別核對相應等級客戶訂單需求配套率的機制從某種程度上實現了采購件采購管理的精細化,有效地避免了生產所需采購件缺料的情況。
3)借助信息化支持系統,實現了采購件訂單的網上發布,到貨情況的實時跟蹤和供貨中斷信息的及時捕獲。
4)通過調整DPO,系統可以及時有效地響應各種緊急的采購件訂單變動請求,比如主生產計劃的變動,生產事故或者交通不暢引起的供應商供貨中斷等情況。
5)定期的供應商考核機制有效地保證了對供應商的優化。
2 摩托車零部件制造企業網絡化采購支持系統的總體結構和功能體系
2.1 系統的總體結構
系統總體結構分為用戶層、系統功能層、使能資源層、數據層和網絡層,如圖2所示。

圖2 摩托車零部件制造企業網絡化采購支持系統總體結構
1)用戶層:界面層是系統與用戶的接口,系統用戶主要包括采購部人員、銷售部人員、原材料庫管理員和供應商相關人員等。
2)系統功能層:系統功能層是系統的功能實現層,包含功能模塊、內部集成模塊和外部集成模塊3個部分。系統功能模塊包括系統管理、庫存管理、供應商供貨管理、DPO管理、BOM管理、BOS管理、報表中心管理等一系列功能,輔助用戶進行網絡化采購管理。外部集成模塊實現與企業外部相關信息系統和移動通信終端設備的集成。內部集成模塊實現系統與企業內部ERP(entERPrise resourceplanning)、DSS(decision support systems)等信息系統和移動通信終端設備的集成。
3)使能資源層:使能資源層為系統的功能實現提供基礎工具支持,提供供應商安全認證組件、系統防火墻、集成規范等。
4)數據層:數據層提供業務信息的存儲與共享等服務,包括系統管理數據庫、客戶需求管理數據庫、BOM管理數據庫、DPO管理數據庫、BOS管理數據庫以及庫存管理數據庫等,這些數據庫中的信息是企業人員之間以及與供應商之間進行信息交互和業務協作的基礎。
5)網絡層:主要是指Internet、Intranet/Extranet等,是數據與信息傳輸和共享的基礎支撐。
2.2 系統功能模塊設計
按照模塊化設計的思想,本系統從功能上由以下7個模塊構成,如圖3所示。

圖3 摩托車零部件制造企業網絡化采購支持系統的功能結構
系統管理功能模塊是對系統用戶、權限和日志等進行管理;報表管理功能模塊為相關業務操作人員及管理人員提供簡便、快捷的統計分析和趨勢分析功能,并對采購過程中存在的問題進行統計分析幫助企業找出問題原因并制定相應的解決方案。
BOM管理功能模塊對各個產品的物料清單進行配置,物料信息包括物料性質(緊缺物料、瓶頸物料、主要物料、杠桿物料),采購提前期,周轉量,訂貨批量。BoS管理功能模塊主要是對供應商清單信息進行管理,包括供應商基本信息、供貨信息、歷史信息和資信信息。DPO管理功能模塊包含了用于驅動DPo生成的需求管理功能和生成及調整DPO過程中所需調用信息的集成管理功能。供應商供貨管理功能模塊主要是對供應商的供貨過程進行協同管理;庫存管理功能模塊主要包括庫存信息管理和物料分類管理功能。
3 系統實現關鍵技術
3.1 基于采購成本最小化原則的網絡化采購訂單分配方法
系統實現的一個關鍵問題就是當企業要采購一種或多種零部件時,它應從各個供應商處采購的數量分別是多少,才能保證在一定送貨及時率的條件下達到總的采購成本最小。
筆者在下面的數學模型中考慮了由供貨中斷引起的采購成本增加問題,所以更好地實現了對實際采購過程的模擬。
下面設定企業按如下策略進行采購:
1)企業產品的市場需求大于供應;
2)每一產品的生產過程連續,生產節拍均衡;
3)每種零配件只包含于一種產品;
4)為了維持與供應商的戰略合作伙伴關系,每種產品必須從能夠提供該種產品的每個供應商處采購此種產品需求總量的至少20%,因此,每種產品的供應商數目不能超過5個;
5)每種零部件的送貨及時率至少達到80%;
6)總運輸成本由企業分攤20%;
7)每種零部件從每個供應商的采購量不能超過該供應商所提供該種產品總量的80%;
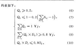
8)企業的總采購成本最小。這里,第歹種零部件的送貨及時率表示為

式中:C1為零部件歹的總采購成本;Pd為零部件歹從供應商i處的購買單價;Di為零部件歹的需求量;ti為從供應商i處所購零部件.f的單位批量運輸成本。
基于以上的采購策略和相關表達式,可以得出總采購成本模型

目標函數(5)是企業的總采購成本模型,它由零部件成本、運輸成本和由供貨中斷產生的利潤損失折合成本構成;式(4)滿足采購策略(1)的要求;式(7)表示每種零部件從供應商的采購百分比的上限;約束(8)表示零部件-從各個供應商的采購百分比之和為1;式(9)滿足了采購策略(5)的要求;式(10)滿足了采購策略(7)的要求,從約束條件可以看出式(6)-(8)已經

這就要求企業在采購時要確定合理的采購量,在這種情況下此優化模型的約束條件即為有界。因為此目標函數為線性,在這種有界的約束條件下一定有解。
3.2 基于RosettaNet框架的系統集成技術
系統需要與主機廠訂單系統,企業內部ERP、DSS等系統集成,為了解決供應鏈上系統集成時出現的信息孤島問題,選擇了RosettaNet框架作為集成支持技術。與現有集成技術(distributedcomponent object model,DCOM)和(commonobject request broker architecture,CoRBA)相比,RosettaNet的主要特點在于:
1)軟件層上,采用基于通用的XML格式的通信協議實現面向服務架構(service-orientedarchitecture,SoA)的通信方式,以便實現軟件層上應用系統間的互操作性;而DCOM和CORBA主要是采用私有的數據表達方式,易造成不同中間件問的信息孤島問題。
2)業務層上,RosettaNet將企業間業務流程分解為不能再細分的子業務流程(partner interfaceprocesses,PIP),并對這些子業務流程的數據語義進行標準化,實現了業務層上數據語義的互操作性,而這種互操作性是目前DCOM、CORBA所缺乏的。
3)RosettaNet主要是針對中小企業系統集成需求提出的,它是供應鏈領域廣泛接受的系統集成標準,因而易于解決業務流程和交互信息標準不統一的問題。同時由于基于統一標準,系統集成實施速度快、實用性高,能夠減少中小企業的系統集成成本。根據與其它系統的業務集成需求,系統采用RosettaNet集成框架中的采購訂單下達與確認(PIP3A4)、庫存報告(PIP4C1)、供應狀態請求(PIP384)、第三方物流接口(PIP482)、補庫請求通知(PIP4D1)等5個方面的子業務流程接口,并選擇RosettaNet框架對應參考數據結構,從而確定了滿足系統交互需求并符合廣泛支持標準的系統集成模式。
為了滿足上述業務流程中信息交互的可靠性、安全性和跨平臺特性,系統選用基于SOAP通信協議的Web service技術作為數據傳輸方式。首先,按照RosettaNet業務流程標準開發出業務流程和數據交互接口;然后為這些接口編寫部署描述文件(Web service definition language,WSDL),將其作為Web服務發布到應用服務器。服務器構建采用在Weblogie7.0服務器上加載Axis Web服務引擎方式,其它系統只需按照RosettaNet標準規范調用這些接口,即可實現與本系統的集成。
3.3 基于移動短信息服務的信息實時傳輸和交互技術.
傳統的采購管理主要是對管理層信息的管理和集成,無法延伸到供應商的物料發運、在途、裝卸等現場進行信息的實時采集,因此在構建系統時,采用移動通信接口技術,利用手機作為終端進行現場信息的采集。與現有的有線技術(Internet/Intranet)相比,無線技術可以解決因地理位置不確定或計算機網絡難以接入而造成企業人員間通信難的問題。利用無線技術,物流人員能通過GSM或CDMA移動通信網絡以短消息形式實時訪問系統。系統的移動通信接口采用移動網關接入模式,如圖4所示。短消息在傳遞過程中主要包括2個處理過程:
短信息接收過程和短信息發送過程。短消息接收業務流程是用戶發出短信信息,通過相應的GSM/CDMA網絡、短信中心和相應的地區短信網關轉發給service provider(SP),再經過移動短信息服務(short message service,SMS)應用系統短信接口模塊到達應用系統數據庫服務器,應用系統根據短信息指令進行響應;短消息發送業務流程是應用系統通過SMS應用系統短信接口模塊發出短信息,經過SP、短信網關轉發給相應的地區短信中心,繼而發送給用戶。在SMS短信接口模塊和SP短信接口之間采用基于TEP/IP協議的HTTP應用協議,以POST/GET方法,通過80端口進行通信的雙方互為客戶端/服務器。

圖4 移動網關接入模式
4 應用案例
4.1 系統流程
通過對摩托車零部件制造企業現行業務流程的了解和需求的確認,筆者提出了圖5所示的系統業務流程解決方案。
4.2 應用效果
結合以上研究成果及系統業務流程,筆者開發了一個基于DPO的摩托車零部件制造企業網絡化采購支持系統,并在重慶某摩托車零部件制造企業進行了實施應用。該企業在重慶、浙江、廣州等地為眾多摩托車成車制造企業提供齒輪零配件供應配套服務。其中主要包括:宗申、力帆、隆鑫、錢江摩托、新大洲本田、廈門廈杏、廣州精通天馬、廣州大陽等客戶,是一個典型的按照客戶訂單組織生產的摩托車零部件制造企業。該企業的產品種類多達上百種,所需采購物料種類有近千種,且多為異地采購。在當前市場競爭日趨激烈的環境下,如何進一步提高企業物料采購速度、降低采購成本和實現采購過程實時跟蹤管理,已成為企業當前迫切需要解決的重要問題之一。

圖5 系統業務流程
系統在該企業實施后,經過一年多的運行取得了較好的應用效果:采購部門對采購需求變動的響應速度有了較大的提高;借助ASP平臺,企業實現了采購過程中與供應商的協同化管理;由于缺料造成的生產線停產事故較系統應用前明顯減少;企業客戶訂單需求配套率得到大幅度提高,從而企業的市場競爭能力得到了進一步的提高。
5 結語
筆者基于網絡化制造的思想提出了一種能滿足以上需求的動態采購訂單(DPO)的管理模式及其支持系統,該系統在重慶某摩托車零部件制造企業得到了較好的應用,解決了企業采購管理過程中由于主生產計劃的調整、物料供應過程中斷和供應商供貨質量不穩定等因素引起的生產所需物料短缺、堆積及不配套等問題,實現了采購訂單對主生產計劃調整的動態適應,供貨狀況的實時跟蹤和采購資源。的合理搭配,為其他摩托車零部件制造企業實施網絡化采購管理提供了一種新的思路和方法。
轉載請注明出處:拓步ERP資訊網http://www.hanmeixuan.com/
本文標題:摩托車零部件制造企業網絡化采購支持系統























